I contend the concept of extending off into a direction forever is very misunderstood. Many teachers introduce infinity as an incomprehensible large amount but really it means a boundary, its just that real numbers do not have boundaries in magnitudes. And there are two magnitudes: positive and negative. The above definitions are given by the laws of mathematics.
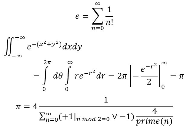
The first is a series definition for Napier's Constant (also called Euler's number) where a sum is taken over infinity and inversed over a factorial of the iterator and the convergence is the constant. This one dimensional linear examination of infinity is relatively easy to comprehend: large numbers being inversed become inconsequentially small as they increase in magnitude and for all practical purpose converge to a real-like number.
The second equation, which I will call Napier's Mountain, looks at a double integral with no bounds, expressed mathematically as bounds of negative and positive infinity, over Napier's Constant raised to the inverse of a circle. This equation solves to Pi, the area of the mountain.
Pi of course is defined as the ratio of a circle's circumference to diameter however it can also be expressed as the Leibniz Series you can see that the iterator oscillates as it transverses through infinity. To me this a very elegant representation of the interwoveness of the two magnitudes of infinity as we arrived at Pi through a supposed linear look over infinity and ended up with a series that, while it has positive and negative elements, they are intertwined over the prime number line.
While it would seem obvious that negative infinity and positive infinity would not meet at the extremes that is only when considering open surfaces, there are numerous examples in mathematics, and more importantly physics, where systems converge when analyzed over its entirety. A planet for instance if you travel in one direction long enough you end up right where you started.
When my research with Ideal Organizational Theory went sideways I decided to skid into the curve anticipating that while I would take heavy losses of credibility and personal relationships that eventually the negative would have so much mass that it would turn positive. Have I hit negative infinity yet? We will see.
1 Comment Comments on Wesley Crusher’s article
Paul Bradley BSc. MSc. PhD. CMath MIMA (He/Him) out of network 3rd+ Principal Modeller and Chartered Mathematician at Jacobs